Red Proteger®

 

Resolución ENERGAS 2767/2002

Determina las pautas para la aprobación, utilización, y controles de las mangueras para GNC instaladas en surtidores de las estaciones de carga, y fija un plazo para que sus fabricantes e importadores generen un proyecto de Especificación Técnica para la aprobación de esas mangueras.


 

 

Buenos Aires, 12 de diciembre de 2002

VISTO el Expediente ENARGAS N° 7787, la Ley N° 24076, su Decreto Reglamentario N° 1738/92, y la Resolución ENARGAS N° 138/95; y

CONSIDERANDO:

 

Que el artículo 52 de la Ley 24076 le asigna al ENARGAS, entre sus funciones y facultades, la de dictar reglamentos en materia de seguridad, normas y procedimientos técnicos, incluyendo también al gas natural comprimido; reglamentos a los cuales deberán ajustarse todos los sujetos de la Ley.

Que el artículo 86 de la mencionada Ley dispone que el Clasificador de Normas Técnicas de Gas del Estado Sociedad del Estado (Revisión 1991) y sus disposiciones complementarias mantendrán plena vigencia hasta que el ENARGAS apruebe nuevas normas técnicas en reemplazo de las vigentes.

Que diversas estaciones de carga han efectuado presentaciones, individual o colectivamente, solicitando clarificar o modificar los requisitos dados en las normas respectivas acerca de la vida útil de las mangueras de los surtidores para gas natural comprimido.

Que las normas que tienen relación con la instalación, el uso y el mantenimiento de las mangueras para el expendio del GNC, son la GE-N1-118 "Normas y especificaciones técnicas y de seguridad para instalaciones de compresión, almacenamiento y despacho de gas natural comprimido" y la GE-N1-141 "Norma de equipos de compresión para estaciones de carga de gas natural comprimido", que forman parte del Clasificador citado en el apartado segundo.

Que la primera de esas normas establece el descarte de las mangueras a la finalización de su vida útil, acotada por el "plazo que garantice el proveedor sobre el certificado".

Que la otra norma, por su parte, asigna a las mangueras la limitación que surja del estado de su cobertura exterior, su malla y sus terminales.

Que en una de las presentaciones referidas se manifiesta que en el año 2000 los productores de mangueras comenzaron a hacer constar en sus certificados un plazo de garantía de un año.

Que en otras presentaciones, se ha hecho llegar al ENARGAS la inquietud en relación con esta exigencia de renovación anual, aduciendo que, de acuerdo con la experiencia acumulada y sin desmedro de la seguridad, no se requeriría ese período de recambio, que juzgan excesivamente breve y agravado por los costos que significa actualmente la adquisición de insumos importados.

Que consultados los proveedores de mangueras, invocaron su interpretación de las normas y su interrelación, tanto las de uso en nuestro país como las de fabricación en origen.

Que las de fabricación que mencionaron fueron la ANSI/IAS NGV 4.2-1999 CSA 12.52-M99 "Standard for Hoses for Natural Gas Vehicles and Dispensing Systems" ("Norma para mangueras para vehículos a gas natural y sistemas de despacho") y la SAE J-517 "High-Pressure Thermoplastic Hydraulic Hose (SAE 100R8)" ("Manguera hidráulica termoplástica para alta presión").

Que el envejecimiento de las mangueras está determinado por la intensidad de su uso, definible por la cantidad de ciclos de carga, pudiendo acelerarse por condiciones de montaje u operación no adecuadas.

Que de ello se desprende que es correcto el criterio de que la vida útil de las mangueras para GNC -que la norma GE-N1-118 indica sea fijada por el fabricante- debe ser dada en función del uso; definiendo éste, a tal fin, como la cantidad de ciclos de trabajo en las condiciones de instalación, operación y control estipuladas por el fabricante o importador de la manguera.

Que analizadas las condiciones que fijan para los distintos ensayos las normas actualmente utilizadas para la fabricación de mangueras, en relación con el uso real de éstas, permiten entenderlas como suficiente factor de seguridad.

Que los deterioros en las mangueras se manifiestan en forma gradual; lo que permite tener control del proceso y no temer un accidente repentino, a condición de que el montaje, la operación y las verificaciones con su debida periodicidad, se realicen de acuerdo con las recomendaciones del fabricante y se mantenga la aceptabilidad dentro de límites de seguridad.

Que las conclusiones del considerando anterior se ven reforzadas por el reaseguro agregado que otorgan la válvula de exceso de flujo, la malla metálica y el diseño mismo de las mangueras.

Que los resultados observados en el uso de las mangueras en nuestro país al cabo de estos años, se corresponden con las consideraciones anteriores.

Que es oportuno actualizar el sustento normativo para aprobación de mangueras mediante la emisión -en el espíritu de lo previsto en la Resolución ENARGAS N° 138/95- de un documento "ad-hoc" que la reglamente, desarrollado sobre la base de la norma específica ya citada de mangueras para GNC, ANSI/IAS NGV 4.2.

Que para el mejor logro del objetivo de interpretación y compatibilización de las normas que se intenta por este acto, es conveniente discriminar las responsabilidades, al efecto, de los fabricantes o importadores de mangueras, de las estaciones de carga y sus representante técnicos, y de las Licenciatarias de Distribución.

Que el Directorio del ENARGAS se encuentra facultado para emitir este acto en mérito a lo establecido por los Artículos 52 inciso b) y 86 de la Ley N° 24076 y su Decreto Reglamentario N° 1738/92.

Por ello

EL DIRECTORIO DEL ENTE NACIONAL REGULADOR DEL GAS

RESUELVE:

Artículo 1º.- Déjase sin efecto el quinto párrafo del apartado c) "Mangueras" del item 3-1 del Capítulo "Especificaciones, repruebas y ensayos periódicos" de la norma GE-N1-118 "Normas y especificaciones técnicas y de seguridad para instalaciones de compresión, almacenamiento y despacho de gas natural comprimido", que reza: "Se asigna a las mangueras una vida útil de acuerdo al plazo que garantice el proveedor sobre el certificado".

Artículo 2º.- Déjase sin efecto el punto 2.19 del Anexo 1 de la norma GE-N1-141 "Equipos de compresión para estaciones de carga de GNC", que reza: "La vida útil de la manguera estará limitada por el estado de la cobertura exterior, mallas o terminales, según criterio de Gas del Estado".

Artículo 3°.- Determínase que la vida útil de las mangueras para los surtidores de gas natural comprimido vehicular, será fijada por la cantidad de ciclos de uso a presión que es capaz de resistir en forma segura siempre que se cumplan las condiciones de instalación, operación, control y almacenamiento; todo ello, de acuerdo con lo establecido en el Anexo que forma parte de la presente Resolución.

Artículo 4°.- Dispónese que los fabricantes e importadores de mangueras provean a las Licenciatarias de Distribución y a aquellos Representantes Técnicos de estaciones de carga que lo requieran, la capacitación necesaria para el montaje, uso y controles de las mangueras.

Artículo 5°.- Dispónese que los fabricantes e importadores de mangueras deberán, en conjunto o en forma individual, presentar al ENARGAS, a través de algún Organismo de Certificación, en un plazo no superior a los ciento veinte (120) días corridos contados a partir de la fecha de publicación de la presente, un proyecto de documento normativo "ad-hoc" para la aprobación de mangueras para surtidores de GNC, desarrollado sobre la base de la normativa vigente, la norma específica ANSI/IAS NGV 4.2., y la presente Resolución.

Artículo 6°.- Discrimínanse las responsabilidades de los fabricantes e importadores de mangueras, las estaciones de carga y las Licenciatarias de Distribución, según figuran en el anexo que forma parte de la presente Resolución, sin perjuicio de lo indicado en los artículos 4° y 5º de la presente Resolución.

Artículo 7°.- Comuníquese, notifíquese, publíquese, dese a la Dirección Nacional del Registro Oficial, y archívese.

 

ANEXO: DISCRIMINACIÓN DE RESPONSABILIDADES DE LOS SUJETOS INVOLUCRADOS EN LA PRESENTE RESOLUCIÓN.

De los fabricantes o importadores:

  1. Indicar la vida útil en función de ciclos de uso en las condiciones de instalación, operación, control y almacenamiento determinadas según 2 a 6. Los ciclos de uso responderán a las normas adoptadas por los fabricantes en cuanto a la cantidad requerida en el ensayo de ciclado y a las condiciones exigidas.
  2. Indicar controles a efectuar –frecuencia, tipo y localización-, dando los límites de aceptabilidad para las eventuales fallas que pudieran detectarse y variantes en la periodicidad para los distintos controles.
  3. Detallar las condiciones de montaje seguras.
  4. Detallar las condiciones de utilización seguras.
  5. Indicar pautas para el almacenamiento de mangueras fuera de servicio, tanto nuevas como usadas.
  6. Indicar requisitos diferenciales para mangueras que hayan estado (permanente o alternativamente) fuera de uso.
  7. Proveer, con cada manguera comercializada, un documento técnico, aprobado por el Organismo de Certificación, que contenga las pautas necesarias para cumplir con lo indicado en los puntos 2 a 6 anteriores y donde figure lo requerido en 1.

 

De la Estación de Carga y su Representante Técnico, como responsables solidarios por el cumplimiento de los puntos anteriores.

  • Instruir al personal de la Estación de Carga que corresponda, según sus tareas actuales y potenciales, para el cumplimiento de lo requerido en los puntos 2 a 6 anteriores, y llevar registro de la capacitación efectuada.
  • Desarrollar un procedimiento para el cumplimiento de cada una de las tareas correspondientes a la capacitación recibida.
  • Verificar el cumplimiento de la realización de esas tareas por el personal, y efectuarlas "per se" cuando sea el caso.
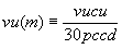
  • Llevar planillas actualizadas de seguimiento de los ciclos a la que es sometida cada manguera instalada, a los efectos del control del cumplimiento de su vida útil, aplicando la fórmula:

donde: vu(m) es la vida útil, en meses

vucu es la vida útil en cantidad de ciclos de uso, según 1

pccd es el promedio de la cantidad de ciclos de carga diaria;

  • Reemplazar las mangueras que hayan cumplido su vida útil de acuerdo con la fórmula anterior, o que presenten signos de deterioro según lo indicado en 2.
  • Reemplazar el tramo de la manguera comprendido entre el pico de carga y la válvula de tres vías como máximo al cumplirse doce (12) meses en uso, aun cuando la aplicación de la fórmula diera un valor mayor, sin perjuicio de cumplir con los límites de aceptación que surjan de lo indicado en 2.

 

De la Licenciataria de Distribución que corresponda a la zona

  • Velar por el efectivo cumplimiento de lo indicado anteriormente mediante auditorías donde como mínimo se verifique:
  • la capacitación del personal, a través de los registros y existencia de los procedimientos mencionados;
  • el cumplimiento de las condiciones de montaje requeridas;
  • la vigencia de la vida útil de las mangueras a través de las planillas de frecuencia de uso, y del tramo entre el pico de carga y la válvula de tres vías; y
  • el posible deterioro, según lo indicado en 2, que requiera el reemplazo de la manguera.
Sitio desarrollado por el Ing. Néstor Adolfo BOTTA para RED PROTEGER®.
Enviar correo electrónico a webmaster@redproteger.com.ar con preguntas o comentarios sobre este sitio Web.
Copyright © 2000-2012 RED PROTEGER®
Última modificación: 05 de abril de 2012